5.2. Proporcionální regulovaná soustava se setrvačností 1. řádu

Metoda standardních tvarů:

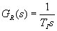
Přenos:

volba I regulátoru

Výpočet přenosu otevřeného regulačního obvodu

Určení stupně astatismu

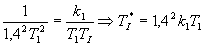
q = 1

Určení charakteristického mnohočlenu a přenosu řízení

Porovnání charakteristického mnohočlenu s charakt. mnohočlenem viz tabulka 17 a následný výpočet optimální hodnoty stavitelných parametrů regulátoru

Simulační model - seřízení reg. soustavy I regulátorem metodou standardních tvarů. (pro k1=5, T1=50)

Kalkulačka - výpočet optimálních hodnot stavitelných parametrů regulátoru (I) pro tuto soustavu (2.) a metodu (ST).


Metoda inverze dynamiky:

Přenos:

Na základě přenosu přiřadíme regulátor PI a určíme vztahy pro optimální hodnoty stavitelných parametrů regulátoru, viz tabulka 10, řádek 4 (T=0)

Simulační model - seřízení reg. soustavy PI regulátorem metodou inverze dynamiky. (pro k1=5, T1=50, Tw =25)

Kalkulačka - výpočet optimálních hodnot stavitelných parametrů regulátoru (PI) pro tuto soustavu (2.) a metodu (ID).


Metoda optimálního modulu

Přenos:

volba I regulátoru

Výpočet přenosu otevřeného regulačního obvodu

Určení stupně astatismu

q = 1

Výpočet přenosu řízení

Vyjádření a dosazení jednotlivých koeficientů Ai , Bi do vztahu AiB0 = A0Bi a výpočet optimální hodnoty stavitelných parametrů regulátoru

B1 = 0

 

A1B0 = B1A0

Kontrola stability – stabilní.

Simulační model - seřízení reg. soustavy I regulátorem metodou optimálního modulu. (pro k1=5, T1=50)

Kalkulačka - výpočet optimálních hodnot stavitelných parametrů regulátoru (I) pro tuto soustavu (2.) a metodu (OM).




Společný simulační model - seřízení reg. soustavy se všemi výše uvedenými metodami syntézy. (pro k1=5, T1=50)

Legenda k simulačnímu modelu:

metoda standardních tvarů  
metoda optimálního modulu

metoda inverze dynamiky      

Nahoru