PD regulátor

Zlepšuje stabilitu regulačního obvodu ve srovnání s použitím čistě P-regulátoru. Je tedy možné pracovat s vyšším zesílením regulátoru a tedy menší trvalou regulační odchylkou vzhledem k použití čistě P-regulátoru. V počátku regulačního pochodu převládá vliv derivační složky, s narůstajícím časem převládá vliv proporcionální složky; regulátor pracuje s přechodným zvýšeným zesílením.

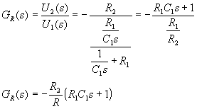
Fyzikální realizace regulátoru PD regulátoru

. (13)
PD regulátor

obrázek 10 – PD regulátor

Přechodová charakteristika PD regulátoru
Přech. char. PD regulátoru

obrázek 15 – Přechodová charakteristika PD regulátoru